Yararlı Bilgiler

Endustriyel Yağlama

Kayma yüzeylerindeki sürtünme ve aşınmayı azaltmak için iki katı kayma yüzeyi arasında sıvı, katı veya gaz yağlama maddelerinin ilavesiyle yapılan işleme yağlama adı verilmektedir.

Bu sistemi inceleyen bilim ve teknoloji dalına Triboloji denilmektedir.

Yağlamanın asıl amacı; iki yüzey arasındaki bir yağ filmi oluşturarak sürtünmeyi daha düşük olan iç sürtünmeye çevirmek ve yüzeyleri birbirinden ayırarak yüzey pürüzlerinin birbirleriyle temasını önlemektir.

endustriyel yağlama

Sıvı film kalınlığı belirlenmesinde

  • Akışkan viskozitesi
  • Birbirine göre bağıl hareketli iki yüzeyin hızı .
  • Taşınan yük gibi faktörlerle belirlenir. Bu da yağlama rejimi belirler.

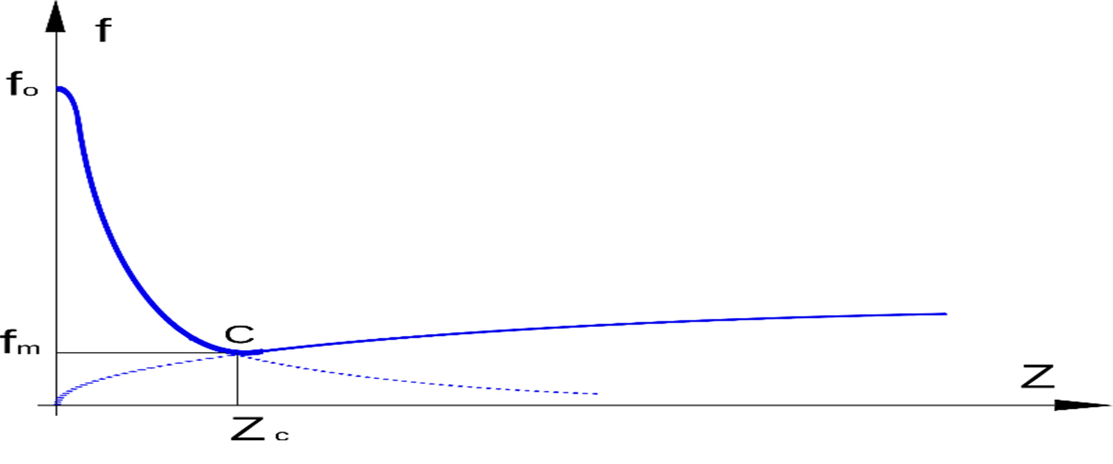
Tüm sürtünme kayıplarını bu faktörlerin nasıl etkilediği ve farklı yağlama bölgeleri (rejimleri) Stribeck Eğrisi üzerinde gösterilir.

NOT: Makinalarda yazın daha kalın kışın daha ince yağ kullanılması yağın viskozitesinin sıcaklıkla azalmasından kaynaklanmaktadır.

Mühendisler, yağları değerlendirmek, yatakları tasarlamak ve yağlama rejimlerini anlamak için, Stribeck Eğrisi kullanırlar.

endustriyel yağlama

Alaşımlı filmaşin çeliğin fabrikadan çıkış çap aralığı minimum 5.5 mm ve maximum 20mm dir.

Fabrikadan satın alınan filmaşin telin çapı çok yüksektir, bu yüzden tel çekme makinaları ile tel gerdirilerek telin çapı azaltılır. Birçok silindir kullanılarak tel tekrar tekrar çekilir ve istenilen kalınlığa inceltilir. İstenilen kalınlığa sahip tel tekrar rulolar halinde sarılarak çivi üretimi için hazır hale gelmiş olur.

Uygun yağ seçiminde ve yatak tasarımında dikkat edilecek hususlar

  • Uygun yatak tipinin seçimi,
  • Güvenilir olabilecek yatak boyutlarının hesaplanması,
  • Eğer ihtiyaçları karşılıyorsa yatağın performans analizinin incelenmesi,
  • Daha sonra performans, optimuma en yakın oluncaya kadar tasarım ve boyutların modife edilmesi.
Endustriyel yağlama

Yağ Kanalının Tayini

Yatağın yüzeyleri arasında yağ kamasının oluşmasını kolaylaştırmak

Yağın yatak içinde dağılmasını daha iyi bir şekilde sağlamak için genellikle yatakta birtakım yağ kanalları açılmaktadır.

Prensip olarak yağ girişi ve yağ kanallarının hidrodinamik olmayan bölgede olması daha uygundur.

Bunu yapmakla daha büyük bir yağ akışı sağlanmaktadır. Aksi halde hidrodinamik yağ basınç yayılımı önemli şekilde bozulur ve bu da yatağın yük kabiliyetini azaltmaktadır.

Endustriyel yağlama

Yağlayıcı Maddeler ve Özellikleri

Yağlayıcıların Sahip Olması Gereken Özellikler
  • Fonksiyona yüzeylerine kuvvetli bağlanma/tutunma(ıslatma kabiliyeti),
  • Kendi molekül veya kristalleri arasında küçük bir iç sürtünme direnci(katılar için kayma direnci, sıvılar için viskozite),
  • Yüzeyleri kimyasal olarak etkileyip bozmama,
  • Korozyonu engelleme,
  • Sıcaklık ve atmosfer etkilerine dayanım,
  • Kuvvet iletme veya taşıyabilme kabiliyeti,
  • Gerektiğinde elektriksel izolasyon,
  • Yüzeyleri yıkama ve zararlı partikülleri taşıma-uzaklaştırma,
  • Sağlığa ve çevreye zararlı olmama,
  • Çalışma bölgesinde ısıyı taşıyabilme,
  • Uygun fiyat

Viskozitenin Sıcaklıkla Değişimi

Viskozitenin sıcaklıkla büyük ölçüde değişmekte olduğu görülmüştür. Yağın cinsine bağlı olarak değişik oranlarda sıcaklık artışıyla viskozite düşmektedir. Yağlama bakımından viskozitenin mümkün mertebe sıcaklıkla az değişmesi arzu edilir.

Sıcaklığın Viskoziteye Tesiri

  • Daha yüksek sıcaklıklarda -Daha yüksek viskoziteli (daha kalın) yağ
  • Daha düşük sıcaklıklarda -Daha düşük viskoziteli (daha ince) yağ kullanılmalıdır.
endustriyel yağlama